문제
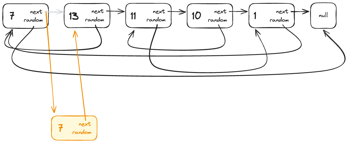
길이 n의 연결리스트가 주어집니다.
각 노드들은 리스트의 랜덤 노드 혹은 null을 가리킬 수 있는 random 포인터를 추가로 갖습니다.

리스트의 깊은 복사본(deep copy)을 구성하세요.
딥 카피는 정확히 n개의 새로운 노드로 구성되어야 하며, 각 새 노드의 값은 해당 원본 노드의 값으로 설정됩니다. 새 노드의 next 포인터와 random 포인터 모두 복사된 목록의 새 노드를 가리키도록 해서, 원본 리스트와 복사한 리스트의 포인터가 같은 상태여야 합니다. 새 리스트의 포인터 중 어떤 것도 원본 리스트의 노드를 가리켜서는 안 됩니다.
예를 들어, 원본 리스트에 X 와 Y 노드가 있고, X.random --> Y 라면, 그에 상응하는 복사한 리스트의 x 와 y 역시 x.random --> y 여야 합니다.
복사한 연결리스트의 헤드를 반환하세요.
연결리스트는 input/output에서 n개의 노드 리스트로 표시됩니다.
각 노드는 [val, random_index] 쌍으로 표현됩니다:
val:Node.val을 나타내는 정수random_index:random포인터가 가리키는 노드의 인덱스(0~n-1 범위), 노드를 가리키지 않는 경우null입니다.
코드에는 원본 연결리스트의 헤드만 제공됩니다.
# Definition for a Node.
class Node:
def __init__(self, x: int, next: 'Node' = None, random: 'Node' = None):
self.val = int(x)
self.next = next
self.random = random
풀이1
Hash Map 방식
class Solution:
def copyRandomList(self, head: 'Optional[Node]') -> 'Optional[Node]':
if not head:
return None
old_to_new = {}
curr = head
while curr:
old_to_new[curr] = Node(curr.val)
curr = curr.next
curr = head
while curr:
old_to_new[curr].next = old_to_new.get(curr.next)
old_to_new[curr].random = old_to_new.get(curr.random)
curr = curr.next
return old_to_new[head]
- Time Complexity: O(n) 각 노드를 2번 방문
- Space Complexity: O(n) hash map 사용
Interweaving Nodes 방식
class Solution:
def copyRandomList(self, head: 'Optional[Node]') -> 'Optional[Node]':
if not head:
return None
curr = head
while curr:
new_node = Node(curr.val, curr.next)
curr.next = new_node
curr = new_node.next
curr = head
while curr:
if curr.random:
curr.next.random = curr.random.next
curr = curr.next.next
old_head = head
new_head = head.next
curr_old = old_head
curr_new = new_head
while curr_old:
curr_old.next = curr_old.next.next
curr_new.next = curr_new.next.next if curr_new.next else None
curr_old = curr_old.next
curr_new = curr_new.next
return new_head
- Time Complexity: O(n) 각 노드를 여러 번 방문하지만 선형 시간
- Space Complexity: O(1) 맵핑을 위한 추가 메모리 사용 없음




